世上好简单的内扣模具设计
  • 世上好简单的内扣模具设计

世上好简单的内扣模具设计

苏州模具设计公司

世上好简单的内扣模具设计

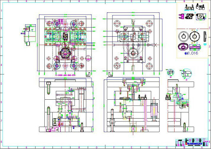
此模具是2011年做的结构简易,只要一次用斜顶直接顶出,只要明白原理,学徒也会把这模具做的漂漂亮亮的

苏州友发模具技术有限公司是目前苏州,上海模具设计公司、华东地区专业的模具设计公司,专做高难度的模具设计公司,对注塑模具的各种疑难杂症有独特的实践经验。对复杂模具简化机构,注重加工工艺和配合的各项环节优化,保证模具的稳定性和精密性增加寿命,降低成本,节省时间,效益大大提高。欢迎同仁探讨交流,共同友好发展

友发设计宗旨是:要为您设计简易精致而更稳的精密模具

苏ICP备2023018049号